1. Bluesky Feeds /
  2. BOU /
  3. #BOU2024

#BOU2024 - Urban birds - annual conference 9-11 April in Nottingham | X | Bluesky More info: https://bou.org.uk/event/urban-birds-bou2024/

Feed on Bluesky

Feeds Stats

  • ๐Ÿ’™ Liked by 1 user
  • ๐Ÿ“… Updated over 1 year ago
  • โš™๏ธ Provider skyfeed.me

#BOU2024 Likes over time

Like count prediction
The feed #BOU2024 has not gained any likes in the last month.

Feed Preview for #BOU2024

BOU
@bou.org.uk
over 1 year ago
#BOU2024 is coming to an end so thank you for engaging! We run several #ornithology conferences each year, so look out for #BOUsci24, #BOUasm24 and #BOU2025. All conferences have parallel X / Twitter events and perhaps they will start featuring more on Bluesky bou.org.uk/conferences-...
0
1
6
BOU
@bou.org.uk
over 1 year ago
#BOU2024 At BOU we fund #ornithology around the world with our small grant and career development bursary schemes, our Warham studentships and our Gibbs awardsย  โžก๏ธ bou.org.uk/funding/
1
2
4
BOU
@bou.org.uk
over 1 year ago
Planning to publish an #ornithology paper? Our journal IBIS publishes original papers, reviews, short communications & forum articles with special emphasis on the #conservation, #ecology, #methodology, #ethology and #systematics of birds. See bou.org.uk/ibis/ #BOU2024
2
0
1
BOU
@bou.org.uk
over 1 year ago
#BOU2024 Black-winged Lapwings were counted twice a month between June 2011 and December 2023 at East London Grand Prix Circuit, South Africa. Peak numbers occurred in autumn and winter but there was considerable variation between years. Mean laying date was estimated between 8 and 19 August.
0
0
7
BOU
@bou.org.uk
over 1 year ago
At BOU, we host the #BOUdiversityBlog series which aims to highlight diversity issues within our #ornithology community bou.org.uk/about-the-bo... ย  ย  #BOU2024 #BOUdiversityBlog
1
1
2
BOU
@bou.org.uk
over 1 year ago
Today at #BOU2024 Jean Tonleu is talking about the bird feeding guild patterns in the urban areas of Maroua. The take home message is: urbanisation in the Sahel ecosystem affects bird feeding guilds in different ways. #ornithology
0
0
2
BOU
@bou.org.uk
over 1 year ago
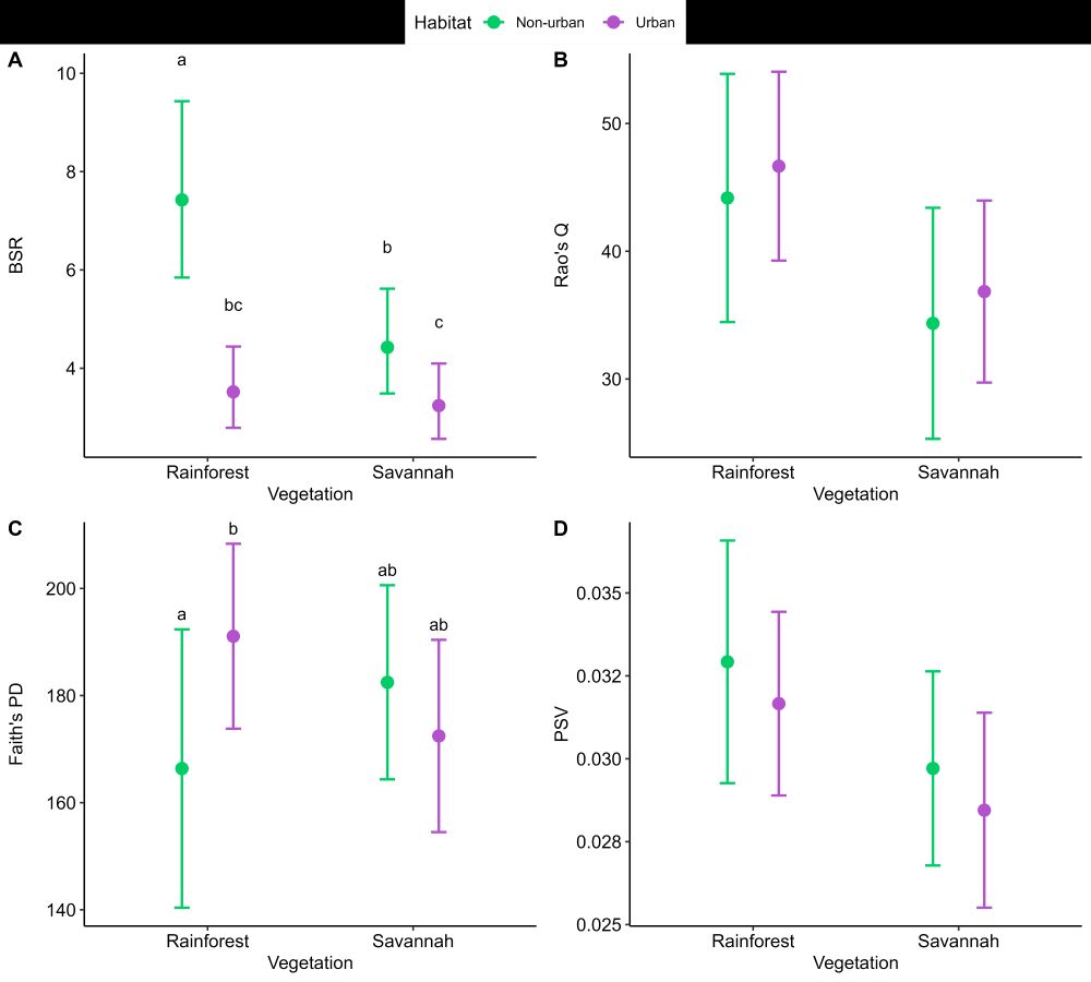
#BOU2024 #ornithology Bird taxonomic diversity is higher in urban than non-urban African sites contrasting the results on functional & phylogenetic diversity. Intense effect in rainforest than savannah. African urban ecology: www.sciencedirect.com/sciโ€ฆ.
0
0
1
BOU
@bou.org.uk
over 1 year ago
Today at #BOU2024 I'm presenting our study on people's perceptions of non-native Ring-Necked #Parakeet in ๐Ÿ‡ฌ๐Ÿ‡ง 1) perceptions = complex 2) many people know๐Ÿฆœ 3) ๐Ÿฆœ = pretty 4) ๐Ÿฆœ in urban areas = ok but in rural areas = not okay. Preprint: bit.ly/3U3cj0E + follow @apb_birds for article in May
0
0
3
BOU
@bou.org.uk
over 1 year ago
Welcome to #BOU2024 again - the annual BOU meeting. We're an international society for ornithologists all around the world ๐ŸŒŽ We've members on all continents conducting research on every topic of avian science & conservation. Join us and be part of our global #ornithology network bou.org.uk/join/
1
1
2
BOU
@bou.org.uk
over 1 year ago
Amanda Rodewald from @birdsoftheworld.bsky.social is delivering #BOU2024 #AlfredNewtonLecture about the processes that shape urban birds. Years of research showed striking differences in bird communities as landscapes urbanised & many assume it's due to the high numbers of predators in cities but..
1
1
2
BOU
@bou.org.uk
over 1 year ago
Welcome to #BOU2024, Urban Birds, the BOUโ€™s annual conference, which is happening in person, on X/Twitter @Ibis_journal, and for first time ever, we are excited to feature some of the conference here on Bluesky #ornithology
1
3
6
BOU
@bou.org.uk
over 1 year ago
โฐ Registration is still open for #BOU2024...but not for much longer! Urban birds | 9-11 April 2024 | Nottingham, UK Check out the programme and register now bou.org.uk/event/urb... Registration closes 24 March (23:59 GMT) #ornithology
0
2
3
BOU
@bou.org.uk
over 1 year ago
โ“Did you know... โ“ ...at #BOU2024 Urban birds we're talking about... Are biological clock differences between urban and forest birds genetic? Barbara Tomotani bou.org.uk/event/urb... #ornithology
0
0
0
BOU
@bou.org.uk
over 1 year ago
โ“Did you know... โ“ ...at #BOU2024 Urban birds we're talking about... At the bird table - disease spread and supplementary feeding Hugh Hanmer bou.org.uk/event/urb... #ornithology
0
1
2
BOU
@bou.org.uk
over 1 year ago
โ“Did you know... โ“ ...at #BOU2024 Urban birds we're talking about... The Luxury Effect - can urban biodiversity be enhanced across society? Dan Chamberlain bou.org.uk/event/urb... #ornithology
0
1
3
BOU
@bou.org.uk
over 1 year ago
โ“Did you know... โ“ ...at #BOU2024 Urban birds we're talking about... City defences - what can we learn from birds about urban colonisation? Ian MacGregor-Fors bou.org.uk/event/urb... #ornithology
0
0
1
BOU
@bou.org.uk
over 1 year ago
โ“Did you know... โ“ ...at #BOU2024 Urban birds we're talking about... Gut microbiomes - do city birds have a tougher time of it? Pablo Capilla-Lasheras bou.org.uk/event/urb... #ornithology
0
2
3
BOU
@bou.org.uk
over 1 year ago
โ“Did you know... โ“ ...at #BOU2024 Urban birds we're talking about... Success in the city? For some birds, it depends upon endocrine phenotypes Fran Bonier bou.org.uk/event/urb... #ornithology
0
1
2
BOU
@bou.org.uk
over 1 year ago
โ“Did you know... โ“ ...at #BOU2024 Urban birds we're talking about... Colour in the city - are urban birds more uniform? Lucas M. Leveau bou.org.uk/event/urb... #ornithology
0
0
1
BOU
@bou.org.uk
over 1 year ago
โ“Did you know... โ“ ...at #BOU2024 Urban birds we're talking about... Urbanization - good for resident birds but bad for migrants? Amanda D Rodewald bou.org.uk/event/urb... #ornithology
0
0
2
BOU
@bou.org.uk
over 1 year ago
โฐ DEADLINE APPROACHING Just a few days left to register for #BOU2024 at early-bird rates... Urban birds | 9-11 April 2024 | Nottingham, UK Early-bird deadline: Fri 9 Feb (23:59 GMT) Register here: bou.org.uk/event/urb... #ornithology
0
4
5
BOU
@bou.org.uk
over 1 year ago
โ€ผ๏ธ Register now for #BOU2024 Urban birds | Uni of Nottingham & X (Twitter) | 9-11 April 2024 โฐ Early-bird rates end 9 Feb View programme & register: bou.org.uk/event/urb... #ornithology
0
2
3